DCR电流检测架构之比较
摘要
电流检测在DC/DC电压调节器系统中扮演很重要角色,尤其是CPU电源VCORE应用中的多相位降压转换器。在VCORE应用中,电流信号会被用于决定下降负载线之特性,每相位之间的电流平衡,抽载电流回报,及过流保护等功能之中。此外,如果是采用电流模式的控制架构,电流信号甚至会直接影响系统的稳定性。因此,获取准确的电流信号是非常重要的。
一般而言,因电感直流电阻(DCR)电流检测法具有无损耗之优点,是被广泛地应用于CPU之电压调节器(VR)应用之中。然而,DCR电流检测法需要将RC网络放置在电感旁,并且通常是很靠近于噪声源的节点,如相位节点或其他PWM信号;因此它的噪声会较高,进而降低电流检测的精确度。此外,电流检测运算放大器的偏移电压和带宽也可能减低所检测之电流信号的精确度或使电流信号失真,这些都为获得准确的电流信号带来很大的挑战。
本应用须知将介绍二种用于多相位稳压器的电流检测方法:差分电流检测法,及总和电流检测法。本应用须知将藉由理论分析及实验结果,来比较这两种电流检测架构之间的差异。
1. DCR电流检测架构
图一显示的是DCR电流检测架构的基本电路,其中L是电感,DCR是此电感的直流电阻。电流检测电阻RX和电容CX联于电感。式(3)所示为电感电流和VCX电压之间的关系。如果只考虑DC电流信号,式(3)可改写如式(4)。若同时考虑DC和AC信号时,则式(3)可改写如式(5)。若选择适当的RX和CX,使得时间常数RX * CX满足此关系式:L / DCR= RX * CX,则在DCR电流检测网络的极点和零点会重合,并且相互抵消。如此一来,无论是从 DC或AC电流信号得到的VCX都会是相同的,即IL * DCR。

图一、DCR电流检测基本电路

将式 (2) 带入式 (1)

只考虑DC 信号时,式(3)可简化为式(4)。

若同时考虑DC 和 AC 信号时,式 (3) 可改写为式 (5)。

将
定义为
2. 差分电流检测架构之简介
图二为差分电流检测架构的电路示意图。电感电流是透过DCR电流检测电容两端的电压来检测的。由于运算放大器正、负输入端近似于虚拟短路,电流检测电阻RCS上的跨压就相当于VCX电压,如此又可将电容电压VCX转换成内部电流信号。每相位的电流信号分别去作该相位的电流平衡和过流保护之后,再将每相位的电流由电流镜电路分别镜射,然后相加,成为总电流信号。此总电流信号会注入连接于IMON接脚和VREF接脚之间的RIMON电阻网络,作为决定下降负载线之特性、回报总和电流、并提供输出过流保护和DCR温度补偿的功能。

图二、差分电流检测架构
2.1 差分电流检测架构之公式推导
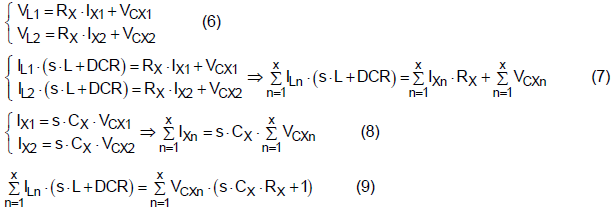
由图二可知,电感电压(VLn)等于电感电流(ILn)*(DCR + s · L);因此,式(6)可被改写为式(7),而电容电流(IXn)可以式(8)来表示。将式(8)代入式(7),电感电流和电容电压之间的关系可以式(9)来表示。

如果 RXCX 检测网络的时间常数能匹配电感的时间常数LX / DCR,则式(9)可以被改写如式(10)。藉由电流检测电阻RCS,可将VCX电压信号变成电流信号,且总检测电流可用式(11)来表示。总检测电流注入 RIMON 电阻网络之后,会进行温度补偿。被检测到的 ΔVIMON电压,可用于回报总电流和过流保护,并可用于决定作电压准位设定的下降负载线之特性及其他用途等。

3. 总和电流检测架构之简介
图三为总和电流检测架构的电路示意图。总和电流检测架构是利用运算放大器作为加法器,把DCR检测的电容电压(VCXn)全部相加。电流检测电阻(RSn)将检测的电容电压(VCXn)转换成电流信号(ISn),而总电流流到Rsum电阻网络(可作任何所需的温度补偿)。藉由检测Vsum电压,即可得总电感电流讯息。此电流检测架构只需三个接脚就可以检测总电感电流,和差分电流检测架构相比,可大为降低 IC 的接脚数。

图三、总和电流检测架构
以N相位的应用而言,若要检测每相位的电流信号,总和电流检测架构还需要额外的N个接脚。如图四所示,每相位的电流信号均共享ISUM_N接脚;所以,和差分检测架构相比,总和电流检测架构使用的IC接脚数较少。
简而言之,总和电流检测架构共会使用到N + 3个接脚,包括检测总和电流和每相位的电流讯息。在相位数超过3以上的多相位应用时,总和电流检测架构所用的IC接脚数,会比差分检测架构的少。

图四、总和电流检测架构的每相位电流的检测电路
3.1 总和电流检测架构之公式推导
参考图三,并假设
,作为式(13),(14),(15)和(16)的最终形式。将
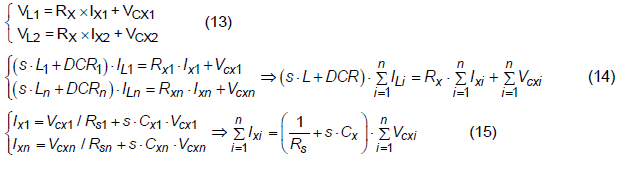
代入VLn,电感两端的电压即可表示如式(14)和电容电流IX可以表示如式(15)。将式(15)代入式(14),电感电流和电容电压之间的关系可以表示如式(16)。


Vsum的表示式可以从式(17)和(18)得到。将式(16)代入式(18)之后,可导出Vsum和IL之间的关系,如式(19)。

如果检测网络的时间常数(RX // RS)* CX能匹配电感的时间常数LX / DCR,也就是如式(20)所表示的,则式(19)即可化简为式(21)。式(21)显示Vsum值是和电感电流的总和成正比的。

4. 差分与总和电流检测架构之比较
4.1 节省接脚之特点
如上所述,总和电流检测架构利用加法器,将每个DCR电流检测网络的电容电压相加起来,因此,只需3个接脚即可获得总电流的讯息。此外,总和电流检测架构检测仅需N个接脚,即可检测N个个别相位的电流信号;相比之下,差分电流检测架构却需要2N个接脚,以得到N个相位的总电流和个别相位的电流讯息。换言之,只要相位数超过3,使用总和电流检测架构就可以达到节省接脚的目的。
差分电流检测架构不能使用单一ISENN接脚,这是因为运算放大器正、负端之间虚拟短路的特点。从图二,如果只使用单一ISENN接脚,就如同两个电压源 (ISEN1P和ISEN2P) 被连在一起,若这两个电压是不相同的,此电路即违反了KVL定律。实际上,因为这两点分别检测来自不同相位的电感电流,所以这两点的电压是不会相同的。
4.2 每相位电流的精确度
虽然透过总和电流检测架构和差分电流检测架构都可精确地获得总电流,但是,每个相位的电流信号却不是如此。差分电流检测架构因为是直接检测DCR电流检测电容的电压,所以可得到每个相位精确的电流信号。将ISEN_N输入接脚和负载VCORE点之间的印刷电路板的寄生电感和电阻考虑进来,当电流流过这些寄生组件时,就会在每一ISEN_N接脚引起一个电压尖峰脉冲;然而,在差分电流检测架构中,所引起的电压尖峰脉冲也同时会在各ISEN_P接脚,所以正负端的差分值不会受到影响。由图五电路仿真产生的波形显示,即使在ISEN_N接脚上有一电压尖峰脉冲,所检测的电流依然正确。

图五、在ISEN_N和ISEN_P接脚上,PCB上寄生组件所引起的电压尖峰脉冲
然而,检测每一相位的电流信号,总和电流架构是用共同的ISUM_N接脚,而非每相位各自的ISEN_N接脚(图三)。因为共享ISUM_N接脚的电压是各相位之检测电容负端电压的平均值,ISUM_N电压和差分架构的ISEN_N点的(即电容)电压稍有不同,特别是考虑到ISEN_N输入接脚和负载VCORE点之间的PCB寄生电感和电阻。图六(a)的电路仿真波形显示所检测的每相位的电流波形与PCB寄生组件所引起之噪声的关系;因此,总和电流检测架构的每相位电流精确度可能不如差分电流检测架构的。
然而,加上适当的滤波组件是可以提高总和架构的性能的;可以在每个检测电容的负端加上滤波组件,RF和CF,以将此节点和输出负载点隔离。这虽会增加总和电流检测架构布局的复杂性,但却可改善每相位电流的精确度。图六(b)的电路仿真波形显示在各相位都有RF和CF滤波组件时,所检测的每相位电流之波形。

图六、总和电流检测架构与PCB寄生组件 (a) 滤波组件时的每相位电流 (b) 有滤波组件时的每相位电流
4.3 误差范围
(Tolerance Band) 之分析与商规 (Commercial Grade) 温度规范
误差范围分析:
差分电流检测法共需要N个电流检测运算放大器,将所有电压信号VCX转换成电流信号。由于晶圆制程的漂移特性,每个电流检测运算放大器之特性参数可能会有些不同,例如输入偏移电压,输入偏压电流...等。电流检测运算放大器的偏移电压会造成控制器无法正确检测电流值,且会将电压调节在错误的准位上,从而降低了输出电压和电流回报的准确性。为避免此现象,在IC内部,设计了一个能在IC启动过程期间自校准的电路。由于差分电流检测法需要校准N个电流检测运算放大器,所以在相同的 IC 晶粒尺寸下,很难增加校准的精确度。因此,差分电流检测法,可能会有较大的偏移电压,因此就需要较窄的误差范围才能解决此问题。
然而,在总和电流检测架构,在总电流信号的路径上,仅需一个电流检测运算放大器。因为只有一个运算放大器需要校准,在相同的IC晶粒尺寸下,它的自校准的精确度就可以增加,因此也可降低运算放大器的偏移电压。在总和电流架构中,每相位的电流信号仅用于每相位的电流平衡和过流保护,并没有直接用于决定输出电压准位的设定。因此,每相位的电流检测运算放大器的误差范围可以较松一点,而每相位的电流检测运算放大器之间轻微的不匹配是可以接受的。
商规温度规范:
由于总和电流检测架构的自校准精确度较高,能大为减低运算放大器的输入偏移电压,因此,可操作的温度范围可以较宽;也因此,总和电流检测架构较易通过商规温度规范。
表一、差分和总和电流检测架构的比较
|
|
差分电流检测架构
|
总和电流检测架构
|
|
IC接脚数
|
相位数 < 3时,较佳
|
相位数 > 3时,较佳
|
|
总和电流精确度
|
|
较佳
|
|
每相位电流的精确度
|
较佳
|
|
|
抗PCBESR和PCBESL引起的电压尖锋脉冲噪声之免疫能力
|
较佳
|
|
|
PCB布局复杂度
|
简单
|
复杂
|
|
不受晶圆制程漂移的影响
|
|
较佳
|
|
误差范围和商规温度规范
|
|
易通过
|
5. 差分和总和电流检测架构的设计方法
以下将用RT8884和RT8893分别作为差分电流检测架构和总和电流检测架构的设计范例。这两种芯片都是要符合英特尔VR12.5规格的。
|
VCORE规格
|
|
输入电压
|
10.8V to 13.2V
|
|
相位数
|
3
|
|
Vboot
|
1.7V
|
|
VDAC(MAX)
|
1.8V
|
|
ICCMAX
|
90A
|
|
ICC-DY
|
60A
|
|
ICC-TDC
|
55A
|
|
负载线
|
1.5mΩ
|
|
快速电压回转率
|
12.5mV/μs
|
|
最大开关频率
|
300kHz
|
在英特尔的Shark Bay VRTB指南中,桌上型平台的输出滤波器的设计需求规范如下:
输出电感:360nH/0.72mΩ
输出大型电容:560µF/2.5V/5mΩ(max),4至5个
输出陶瓷电容:22µF/0805 (在上层最多可放18个)
步骤1:决定电感的参数
输出电感:360nH/0.72mΩ
步骤2:决定DCR电流检测网络参数
选择DCR电流检测电容(CX)值。CX = 1µF由实验中发现,若用0.1µF的电容,电流检测的精确度在低电流状态时会变差,故选择1µF的电容。
决定DCR网络的时间常数比,Kτ。
如果 DCR网络的时间常数比,Kτ,小于1,即电容性的时间常数小于电感性的时间常数。这会造成电流检测的AC增益比DC增益大,即在负载瞬态变化时,会增加DCR电流检测的电容电压 (VCX);并且也会使电压准位过冲或下冲,增加了误触电流限制的可能性。若时间常数比大于1,所检测到的电感涟波电流和瞬态电流的变化会变小,也会使电压缓慢下降;然而,若检测到的电感涟波过小,则会影响回路的稳定性。因此,建议DCR网络的时间常数比最好是等于或稍大于1。在此设计范例中,是将时间常数比,Kτ,设为1。图七显示在负载瞬态变化时电路仿真的波形;其中,分别模拟三种不同DCR电流检测的时间常数比 (Kτ),0.8、1和1.2,的情形,藉以了解KT对输出电压准位和所检测之电流的影响。

图七、在负载瞬态变化时,输出电压(VSEN)和VCX电压在不同KT值时的波形
差分电流检测:

总和电流检测:

步骤3:计算RX和RS之值
决定RX和RS的电阻值。
差分电流检测:

总和电流检测:
为了总和电流检测运算放大器的稳定性,Rsum和(RX + RS)之比建议为4,且建议Rsum值为4kΩ~6kΩ之间。RT8893应用中,Rsum选用16kΩ,所以(RX + RS)的总电阻值即为4k。要注意,高电阻值会降低「总和电流检测」运算放大器的相位裕量。(例如:(RX + RS)= 4k,Rsum = 16kΩ,总和运算放大器的相位裕量约为45˚)。

藉由式(23),RX‧RS乘积值可以算出来,如式(26)。

结合式(25)和(26),得联立方程式(27),并可用以求得RX和RS之值。将RX带入RX‧RS,可得 RS的二次方程式。将上述所提到的数值均代入此式,则可分别得RS为3.41kΩ,而RX为0.59kΩ。

6. 实验结果
由于在实际的应用中,CPU通常会要求VR回报抽载的情况,因此,VR会将检测到的模拟电流信号转换成十六进制的数字码,即数字IMON或DIMON。如果DIMON回报的是和CPU所抽载的电流值完全一样,就表示VR能精确地检测到抽载电流。图八分别显示使用两种不同电流检测架构时,DIMON电流检测的结果。虚线是理想的抽载电流讯号;实线则是DIMON测量回报的结果。从实验结果可知,总和电流检测架构和差分电流检测架构两者均可以提供准确的总电感电流讯息。
|

(a) RT8884差分电流检测架构
|

(b) RT8893总和电流检测架构
|
图八、使用两种不同的电流检测架构之DIMON电流检测结果
图九 (a)显示的是差分电流检测架构所测量的每相位电流检测信号;由图可见差分电流检测架构具有很好的每相位电流精确度。图(b)显示的是总和电流检测架构没有过滤器组件的情形。由于总和电流架构是用一个共同ISUM_N接脚,而非使用直接检测DCR电容的负端,每相位电流无法和差分电流检测架构一样的精确。图(c)显示的是总和电流检测架构有过滤器组件在内的情形。从实验结果可知,过滤器组件能够大为改善每相位电流的精确度,但仍然是无法和差分电流检测架构相比。
|

(a) RT8884差分电流检测架构
|

(b) RT8893总和电流检测架构 - 无滤波器组件
|
|

(c) RT8893总和电流检测架构 – 含滤波器组件
|
图九、不同电流检测架构下,每相位的电流信号
7. 结论
本应用须知中探讨两种用于多相位调节器的电流检测方法。总和电流检测架构具有较好的总电流精确度,IC接脚数较少,和较易通过TOB规范等特点;而差分电流检测架构则具有较好的每相位电流精确度和较高的抗寄生ESR和ESL噪声的能力等特点。选择电流检测架构时,务将实际应用的需求考虑进来,即能找到最适合的电流检测解决方案。
8. 参考数据
[1] 立锜科技, RT8884B规格书
[2] 立锜科技, RT8893A规格书